Информационная динамика
(размышления о теории физических взаимодействий)
Зри в корень!
Козьма Прутков
Мысль рассказать об основах информационной теории именно здесь — на страницах «Дельфиса» — появилась уже давно, поскольку для подобного рода идей важна особая аудитория, но окончательно решение созрело после того, как я познакомился (опять же, благодаря «Дельфису») с работами Джона Кили [1]. Его видение мира нашло во мне (и мгновенно) живой отклик, поскольку явно перекликалось с моими собственными воззрениями на природу вещей: на устройство мироздания и, главное, — на тайну феномена взаимодействия.
Джон Кили (1827—1898) основой взаимодействия считал вибрации и порождаемые ими колебания эфирной материи. Вибрации присущи «молекулярным агрегатам» — так он называл создания микромира; это свойство вложено в них самим Творцом. Вибрации — не монотонный звук и не простой аккорд; это, скорее, мелодия, звучание или... песня, у каждого — своя, прекрасная, чарующая и привлекающая. Так или иначе, но общение и взаимоотношение мельчайших (и не обязательно мельчайших) объектов (или — субъектов!) мироздания происходит при посредстве ЗВУКА. Кили, во-первых, явно одушевлял материальное царство и, во- вторых, за основу взаимодействия брал звук как обобщённое понятие. В его системе «сил в октавах», охватывающей частоты вибраций до 1025 колебаний в секунду, параллельно частотному ряду последовательно разворачиваются обширные ареалы физических проявлений, начиная с акустики и, далее, — явления тепловые, химические, электромагнитные, гравитационные и какие-то ещё, нам неведомые. Многочисленные многоплановые, разноуровневые процессы объединяются единой, всё согласующей и гармонизирующей управляющей причиной — Звуком, или — Созвучием, близким по смыслу к «Слову». Гениальный изобретатель не отделял, как это сейчас принято, чисто акустические явления от явлений электромагнитных, связывая последние с колебаниями эфира. И механические вибрации, и звук, и тепловое излучение, и свет занимают своё место в едином ряду колебаний.
Всё это мне созвучно. То, что электромагнитные явления, в конечном счёте, сводятся к вибрациям эфира и сами вибрации исполняют роль не силовую, а информационную — всё связующую и гармонизирующую, для меня очевидно, ибо я давно занимаюсь изучением такой странной области, как акустика эфира, и приложениями её к электродинамике, то есть информационной динамикой — информационной теорией физических взаимодействий.
Вообще взаимодействия вездесущи и проявляют себя на всех уровнях материального мира — от самых тонких из пока нами различимых (уровня элементарных частиц) до самых сложных из известных (взаимоотношений людей). «Всё состоит из вещества и силы», как однажды заметил Вл.Соловьёв [2]. С веществом — всё более или менее ясно. С ним связаны такие категории, как форма, структура, соотношение частей, их ориентация и т.д. и при предельном абстрагировании — сам геометрический образ пространства1. С силой — сложнее.
Что такое сила? [3]. Это — поведенческая характеристика взаимодействующих тел. Она связана с такими общими категориями, как действие, движение, изменение, и подводит к представлению о времени. Пространство и Время — результат предельной абстракции, идущей, соответственно, от вещества (состава) и силы (поведения).
Так вот, меня всегда интересовали не состав или форма тех или иных объектов, а их поведение, особенно, поведение объектов микромира — физика фундаментальных взаимодействий.
Сейчас различают четыре основных типа фундаментальных взаимодействий: гравитационное, электромагнитное и два ядерных — сильное и слабое. Все остальные, как утверждается, можно свести к основным. Но можно ли, например, свести к ним силы Ван-дер-Ваальсовские или химического сродства (особенно, если речь идёт о макромолекулах) и т.д.? Когда же мы доходим до уровня живых систем — взаимодействия вирусов или межклеточных взаимодействий, то сведение высшего к низшему становится и вовсе туманным.
Рассмотрим пока рафинированные фундаментальные взаимодействия. Все они взаимосвязаны. Мечта многих физиков — найти эту связь и создать единую теорию поля. Но такой теории ещё нет, и для каждого из четырёх типов физических взаимодействий используются свои методы описания, которые объединяет, тем не менее, нечто общее: они слишком схематичны, приближённы, упрощённы и абстрактны.
Здесь мы подходим к главному, и потому требуются пояснения.
Для примера представим электромагнитное взаимодействие и даже ещё более простую ситуацию — электростатическое взаимодействие двух заряженных частиц (рис.1). Физика говорит нам, что существуют именно два их типа: положительные и отрицательные, причём разноимённые частицы притягиваются, а одноимённые — отталкиваются. Обнаружено, что действие здесь имеет взаимный характер, то есть налицо взаимодействие: силы действуют на обе частицы, и всегда f 12 = — f 21 . Была определена — измерена и выражена в условных единицах — и сама эта сила, и то, как она изменяется с расстоянием. Было найдено экспериментально и установлено, что f = qQr/r3, и следовательно, уравнение движения имеет вид: mdV/dt = qQr/r3. Электростатика исчерпывается этими утверждениями, которые все правильны и удобны для практического использования, но поразительно не полны и потому — загадочны: множество вопросов остаётся вне рассмотрения.
Что такое заряд? Это — некоторое свойство, благодаря которому частицы притягиваются или отталкиваются, но как оно связано со структурными особенностями частиц или их внутренней динамикой (если она есть) — не раскрыто и не обсуждается.
Рис. 1
Каким образом осуществляется взаимодействие? Что подталкивает частицы друг к другу, если у них разные знаки зарядов, или разъединяет их, если знаки одинаковы? Физика на это отвечает, что взаимодействие осуществляется через посредство поля (рис.2). Поле (здесь — электрическое) создаётся каждой заряженной частицей, затем преодолевает расстояние до соседней (за какое-то, вообще говоря, конечное время) и, далее, действует на эту последнюю с указанной силой; найдено математическое описание взаимодействия. Тем не менее, возникает масса новых вопросов. Что такое поле? Что оно есть само по себе, а не по характеру своего действия? Как оно создаётся? Как распространяется? Может ли оно распространяться по пустому пространству или же нужна некая промежуточная среда? Наконец, как оно действует? Как может это неощутимое нечто сдвинуть с места массивную частицу или заставить её уклониться от ранее избранного направления движения?
Можно задать и ещё более кардинальный вопрос: почему частицы вообще взаимодействуют? Что им надо друг от друга? Ведь у всякого действия есть своя причина и свой смысл. Это — важные вопросы, но пока мы их оставим и попытаемся ответить не на вопрос «почему?», а на вопрос «как?». И ясно, что воззрения физики тут явно не полны. С их помощью не удаётся понять даже такую, казалось бы, простую вещь, как закон Кулона (!), не говоря уже о всём последующем нагромождении физических утверждений — о квантовых законах, о релятивизме и пр.
Надо было во всём этом разобраться, и вот здесь, при первой же попытке, я сразу же, и впервые, столкнулся с эзотерикой.
Как тут вообще можно разобраться? По-видимому, — единственным способом: сосредоточиться и попытаться представить себе в виде ясных (как можно более ясных) образов, что же, собственно, происходит, когда одна «заряженная» частица встречает другую?
Рис. 2
Физики часто возражают против подобного подхода. Они говорят, что представить устройство и поведение объектов микромира невозможно, так как они очень маленькие (много меньше длины волны видимого света), и их, в принципе, нельзя увидеть (а значит, добавляют они, — и вообразить). Кроме того, их поведение не имеет никаких аналогов в нашем макромире: оно непредсказуемо, вообще лишено всякой логики и именно поэтому имеет принципиально стохастический (вероятностный) характер. Столь категорично настроенные физики утверждают, что познание такого рода может быть лишь абстрактно-математическим, и даже гордятся собой, когда им удаётся описать то, что они не в состоянии даже и представить.
Но лично я — за образный способ мышления, и если чего-то не могу себе представить, то процесс мышления останавливается. А представить можно, вообще говоря, буквально всё, и это, как мне кажется, не безудержная игра фантазии, а, скорее, — прямое видение. Как такое возможно, способна объяснить опять же эзотерика, но не современная наука. Это не что иное, как метод созерцания.
Итак, вернёмся к двум заряженным частицам и начнём с наиболее простых и естественных вопросов.
а) Как частицам удаётся узнавать о существовании друг друга и не просто о существовании, но и о качествах, расположении, характере перемещения?
б) Как они перемещаются? Что ими движет, или, «в чём начало движения»? Толкает ли их нечто, называемое полем (и тогда — как это происходит) или же они движутся сами (и тогда, опять же, — как)?
в) Какому правилу они следуют? Ради чего вообще движутся и почему именно так, а не иначе, или — какой принцип лежит в основе их поведения?
Можно задавать вопросы и далее, но уже этих трёх достаточно для размышлений. Рассмотрим их подробнее.
Первый вопрос — это вопрос о поле. Поле есть нечто такое, что создаётся каждой из взаимодействующих частиц и что, будучи созданным, может самостоятельно распространяться вовне. Это естественное умозаключение сразу же вызывает дополнительные вопросы, поскольку не согласуется с представлениями классической физики. Расхождение имеется, по крайней мере, по двум пунктам.
Во-первых, если поле создаётся частицей, то в ней должен происходить некий внутренний процесс, вследствие которого поле и создаётся. А такого процесса современная физика не предусматривает. Мало того, она не рассматривает даже вопрос о форме (для электрона, например) |4]. О внутренней динамике — о том, какова она, за счёт чего поддерживается и пр. — вообще нет и речи.
Во-вторых, как поле распространяется. Для понимания этого надо выяснить хотя бы в самых общих чертах, что поле из себя представляет.
Вариантов много. Это могут быть некие эманации — корпускулярные истечения или поглощения (чего-то), вибрации (чего-то), вихревые движения (чего-то) [5] и т.д. Даже если не углубляться пока в то, что же это на самом деле, мы приходим к убеждению, что для самого существования и распространения поля совершенно необходим посредник в виде некой тонкой субстанции, заполняющей межчастичные пространства. Иначе говоря, мы сталкиваемся с проблемой мирового эфира. И на первый вопрос (а) ответить можно, но для этого требуется введение двух дополнительных (в физике отсутствующих) представлений: о внутренней динамике частиц — процессе, постоянно идущем внутри них, и о тонкой среде — посреднике взаимодействия.
В связи с этим я предположил и принял, что существуют:
— эфир — эфемерно тонкая, подвижная, энергоёмкая, всё заполняющая субстанция, служащая посредником взаимодействия;
— поле — упругие колебания среды, создающиеся при вибрациях элементарных заряженных частиц.
Характер вибраций — их интенсивность (амплитуда) и частота — определяет заряд (заряд-источник) как меру способности частицы создавать поле. Заряд как мера способности частицы воспринимать поле и откликаться на него (заряд-отклик) вводится особо, независимо. Скорость волн, порождаемых вибрациями, определяет скорость взаимодействий. Эту скорость правомерно выбрать равной скорости света (с), поскольку, во-первых, речь идёт об электродинамике (где эта скорость присутствует) и, во-вторых, не следовало сразу вступать в конфликт с теорией относительности — она могла ещё пригодиться. В качестве вибраций я выбрал простейший их вид — монопольные пульсации, а частоту связал с массой частицы (т0) с помощью хорошо себя зарекомендовавшего соотношения де Бройля: ħω0 = т0с2, тем самым вводя в будущую электродинамику постоянную Планка (ħ), а следовательно, и все связанные с нею квантовомеханические феномены.
Поле, представляемое таким образом, является эфирным звуком. Это волновое, акустическое (по своей физической природе) поле, причём его волны не поперечны, как радиоволны или волны света, а продольны, как у обычного звука, распространяющегося в сплошной изотропной среде. Определяемое так поле не является силовым. Оно — информационное, переносящее информацию (в виде упругих колебаний), но не производящее никакого действия, не создающее никаких сил. Это нечто совершенно новое, в классической физике отсутствующее, но необходимое и естественное с точки зрения развиваемой концепции. Сама логика рассуждений с неизбежностью приводит к тому, что для корректного описания физического (электромагнитного) взаимодействия требуется изначальное введение в аппарат теории понятия информации. Информационные характеристики взаимодействия становятся первичными по отношению к характеристикам динамическим, таким как сила, энергия, импульс и пр.
Итак, физическое поле есть поле не силовое, а информационное. Но тогда, каким образом информация преобразуется в действие? Где это происходит? Кто и как это производит? Зачем? Здесь опять уместно обратиться к созерцанию и рассмотреть аналогии из близкого для нас макроскопического мира.
Пусть две частицы (некоторого размера и формы) расположены неподалёку друг от друга и излучают эфирный звук: монохроматический или многочастотный, монотонный или мелодичный — самый разный. Важно, что каждая частица создаёт в пространстве вокруг себя некоторое звучание, и оно, распространяясь с некоторой скоростью, достигает области, где расположена вторая частица. Эта вторая частица — «частица-слушатель». Она должна быть способной уловить приходящие извне колебания, воспринять содержащуюся в них информацию, оценить её, выработать план ответных действий и затем привести его в исполнение. Так во всяком случае поступаем мы с вами. Почему бы этот принцип не распространить на область микромира и даже вообще не признать его всеобщим? Я так и поступил, и это стало начальным подходом к информационной концепции взаимодействий.
Элементарные частицы при таком взгляде становятся образованиями чрезвычайно сложными и активными и явно приобретают черты живых существ, преобразуясь из объектов в субъекты. В этом — самая суть проблемы взаимодействия, и перед нею даже сама проблема Мирового эфира отступает на второй план.
Обитатели микромира, безусловно, должны быть по-своему живыми системами и даже более того — живыми и разумными, поскольку эти понятия нераздельны. Но как только мы предпринимаем попытки определить «жизнь» и начинаем моделировать, схематизировать, ограничивать и упрощать, живое ускользает от нас, и самое большее, на что мы можем рассчитывать, это на представление обитателей микромира в виде более или менее сложных автоматов. Таково неизбежное следствие физической методологии. При данном подходе мы многое (бесконечно многое) теряем, ибо живая картина заменяется убогой схемой, но кое в чём всё же явно выигрываем. Возникает возможность достигать предельной формализации, разрабатывать математический аппарат и, в итоге, строить количественную теорию, а это для целей практических вполне достаточно.
Мы приходим к убеждению, что начало движения заключено в самой пробной частице, а не в поле — и это важно, именно в самой частице, откликающейся на поле. Подобный вывод неизбежен. Ведь волновое эфиронное поле, которое мы ввели и которому отвели роль информационного посредника взаимодействия, по своей природе разительно отличается от силовых электромагнитных полей. Это высокочастотное продольное поле механических колебаний эфира, тогда как электростатическое (кулоновское) поле от времени вообще не зависит, а электромагнитные силовые поля — не продольны, а поперечны и имеют совершенно иной частотный диапазон. Кроме того, и это — главное, не видно пока никакого внешнего механизма, вследствие которого эфиронное поле можно было бы считать единственной и непосредственной причиной действия, то есть изменения скорости пробной частицы.
Фактическое начало движения заключено не в эфемерных колебаниях эфира, а в двигательном аппарате самих пробных частиц, сообразующих своё перемещение с извне приходящей информацией. Это принцип самодвижения, давно утвердившийся в философии, но отсутствующий в современной физике. С точки зрения развиваемой информационной парадигмы он совершенно естественен. Так поступаем мы сами, получив указание, передаваемое с помощью звука; так движется пчела, привлекаемая ароматом цветка; так ведут себя все живые существа (а следовательно, и элементарные частицы, коль скоро мы считаем их живыми системами).
Принцип самодвижения — утверждение исключительно сильное, позволяющее сделать огромный шаг вперёд, но попутно предлагающий проблему сопоставления динамических (силовых) и информационных характеристик. Каким образом той или иной информации ставится в соответствие действие? Должна иметься прямая связь между характеристиками информационного поля и характеристиками спровоцированных им действий пробной частицы. Установление этой связи и нахождение таким путём основополагающего принципа взаимодействия составляет следующую нашу задачу. Поняв принцип, мы объясним, вследствие чего частицы взаимодействуют именно так, как это происходит, и ответим тем самым уже на третий из поставленных вопросов (в).
Установление принципа взаимодействия — дело чрезвычайно тонкое. Мы здесь сталкиваемся со столькими неизвестными, что поначалу задача кажется совершенно неразрешимой. Но путь всё же имеется, хотя он не идеален и оставляет множество вопросов. Это — давно уже применяющийся в физике и хорошо себя зарекомендовавший оптимизационный метод установления динамических соотношений. Иначе он называется принципом наименьшего действия: частица движется всегда так, чтобы в процессе движения (и благодаря ему) всегда поддерживалась бы оптимальной некоторая величина, называемая «действием» и формально вводимая в физике. («Действие» S — это функционал S = ∫Ldt, где L — «лагранжиан», равный разности кинетической и потенциальной энергий)
Почему оптимизируется именно эта величина? Откуда у частицы, её оптимизирующей, возникает о ней представление? Чего, собственно, частица добивается, стремясь к такой оптимизации? Обо всём этом физика умалчивает, довольствуясь формальными преобразованиями и полагаясь на «таинственную силу математики».
Принцип, однако, очень хорош. Он явно имеет целевую подоплёку, подразумевает, что частица не просто так следует оптимальному принципу, но как бы вполне осмысленно. Оптимизируемая частицей величина должна откуда-то возникать, из чего-то извлекаться, а при развиваемом здесь информационном подходе к проблеме взаимодействия, ясно откуда: она должна появляться в результате анализа информационной обстановки. Иными словами, «лагранжиан» и само «действие» должны быть функционально связаны с характеристиками информационного поля. Эту связь можно подобрать надлежащим образом, именно так, как это было полуинтуитивно определено в классической физике. Тогда получим необходимую нам (а для частицы — насущно необходимую!) оптимизируемую величину, а сразу — и уравнения движения пробной частицы в присутствии и при влиянии всех других. Тем самым даётся ответ на третий вопрос и завершается логическая схема описания физических взаимодействий. И выглядит она следующим образом.
Краеугольным камнем информационной парадигмы является одушевление материального царства и на основе этого выдвижение информационного принципа физических взаимодействий.
Посредником взаимодействия является информационное поле, представляющее собой акустические возбуждения эфира, создаваемые каждой заряженной частицей и распространяющиеся со скоростью света. Динамические же, силовые, характеристики — вторичны и порождаются (создаются) самими пробными частицами в процессе производимого ими анализа внешней ситуации. Этой процедуре всегда предшествует множество невидимых событий: приём и оценка информации; выработка плана будущего поведения (предвидение поведения в соответствии с внутренними целями и прошлым опытом); и, наконец, исполнение задуманного — реализация действия.
Соответствие информационных и динамических характеристик достигается в процессе сложнейшей внутренней деятельности. От нас она скрыта, и явным выглядит лишь результат, формулируемый в виде «принципа наименьшего действия», где «действие», однако, конструируется по вполне определённым правилам из функций информационного поля. Это — логическая схема, но она уже настолько рационализирована, что допускает математическое оформление и, соответственно, создание количественной физической теории.
К настоящему времени автором разработан один из возможных вариантов теории для описания электромагнитных явлений — «информационная теория электричества» (ИТЭ) [7]. Теория эта — релятивистская и допускает предельный переход к классике, то есть к электродинамике Максвелла. В общем же случае она разительно отличается от теории Максвелла и в идеологическом (а вслед за этим — в аксиоматическом) плане, и по структуре математического аппарата, и в отношении предсказываемых следствий, их практических приложений.
В аксиоматике заключена вся физика процессов. Выбор основных представлений и разработка на их основе разветвлённой логической схемы для описания рассматриваемого круга явлений — дело сложное, ответственное и интересное. Оно составляет первый этап построения теории. Далее, физика уступает бразды правления математике: основные положения превращаются в математические аксиомы (и более не обсуждаются), а логическая схема, вследствие предельной формализации, становится фундаментом для построения математического аппарата.
Математическая формулировка информационной теории (как, впрочем, и любой иной фундаментальной теории) чрезвычайно лаконична и состоит, по сути, из двух уравнений:
а) Уравнение для информационного поля χ: □( □ χ)= 0.
Источниками поля являются заряженные элементарные частицы, моделируемые точечными монопольными излучателями, осциллирующими на частоте ω0 = m0c2/h. Биволновому уравнению удовлетворяют четыре волновые функции: две расходящиеся волны — обычная χ и «фазовая» χф, две сходящиеся волны —
Для неподвижного источника они имеют вид:
Где
— некоторые комплексные постоянные, определяемые начальными данными.
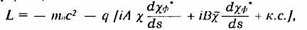
б) Выражение для «лагранжиана» через функции информационного поля:
где А, В — константы; А + В = I; к.с. — комплексное сопряжение.
В случае многих источников для функций поля справедлив принцип суперпозиции (наложения). (Для потенциальной энергии и, следовательно, сил принцип суперпозиции в ИТЭ в общем случае не выполняется.)
К условиям а) и б) можно было бы добавить ещё и третье — некоторое ограничение на энергетические возможности частиц, то есть на их способность претворять задуманное в действительное. Но в ИТЭ подобных ограничений нет.
Приведённая компактная математическая запись даёт алгоритм для обсчёта любых мыслимых ситуаций. Она подобна зерну, содержащему в себе полный информационный код.
Можно отметить, что так сформулированная теория — релятивистская (она — лоренц-инвариантна), и, следовательно, здесь мы не вступаем в конфликт с теорией относительности, хотя в истоках наших рассуждений и лежит представление об эфире. А так как теория допускает предельный переход к классическим уравнениям максвелловской электродинамики, то тем самым соблюдается принцип соответствия Бора. Предельный переход в данном случае осуществляется путём усреднения по фазам. Фаза — величина особая, специфичная именно для ИТЭ. В классике её нет.
В информационной теории каждая заряженная частица — это источник звука, маленький колокольчик, мчащийся через пространство. У колокольчика, помимо высоты звука и его интенсивности, имеется ещё и фаза. Она характеризует точку отсчёта внутреннего времени, своего у каждой частицы. Различия в фазах определяют интерференционные особенности суммарного информационного поля. Когда частиц-источников много, их суммарное поле, вследствие интерференции, может быть самым разным (хотя и не каким угодно) Крайними случаями являются два.
Первый — если фазы совершенно не согласованы, случайны («фазовый хаос»). Тогда возможно и правомерно усреднение по фазам, а при этом-то как раз и справедлива классическая теория. Классическая электродинамика и всё с ней связанное составляет первый ряд следствий информационной теории электричества.
Второй крайний случай — если фазы чётко согласованы. Это очень интересная возможность: вокруг системы заряженных частиц возникает вполне определённая интерференционная картина. Электрическое и магнитное силовые поля в таком случае могут резко отличаться от классических: могут быть чрезвычайно анизотропными (неодинаковыми в различных направлениях), способны появляться силовые лучи, трубки, оболочки и пр. Таково предсказание ИТЭ — очень значимое и многообещающее. В некой «силовой оптике» игра фаз оборачивается игрой сил, и явления данного качества составляют второй ряд следствий ИТЭ.
Третий ряд следствий относится к квантовомеханическим явлениям. То, что они включены в ИТЭ, — неудивительно, поскольку мы с самого начала ввели в теорию постоянную Планка, определив собственные частоты частиц с помощью соотношения де Бройля. В рамках ИТЭ удаётся более или менее удовлетворительно объяснить дифракцию электронов (трактуя её как результат перераспределения электронной плотности под действием дополнительных сил интерференционного происхождения) и разрешить тем самым проблему корпускулярно-волнового дуализма, а также описать атом водорода, причём — классическим образом, в духе идей де Бройля и Бора.
Таким образом, сфера предсказаний, а следовательно, и приложений информационной теории электричества, достаточно велика, и, естественно, возникает желание применить эту теорию, проверить её работоспособность в разных областях и особенно там, где имеются трудности в понимании, — к явлениям аномальным с точки зрения ортодоксальных классических представлений. И оказалось, что теория работает! Она делает возможным многое из того, что классикой просто запрещается и исключается из рассмотрения.
Рис.3
Самое сильное предсказание ИТЭ — интерференция силовых полей, нарушение для них принципа суперпозиции. Для проявления такого рода феноменов нужны особые обстоятельства: желательно, чтобы число заряженных частиц было бы невелико и чтобы они были организованы — упорядочены в пространстве и согласованы по фазам. Идеальными объектами для этого являются атомные ядра. В ядерной физике, как известно, существует проблема холодного ядерного синтеза (ХЯС), и для её решения идеология ИТЭ весьма конструктивна.
Дело в том, что, по представлениям классической квантовой теории, подобный синтез по существу невозможен. Вероятность синтеза, скажем, D + D = 4Не, составляет величину порядка е-7000! Она не равна нулю, так как ядра, благодаря «тоннельному эффекту», всё же могут, в принципе, объединяться, но вероятность чудовищно мала, настолько, что практически запрещает синтез, хотя он и происходит. Эмпирически это доказано с полной достоверностью: в тлеющих разрядах, при механическом перемалывании, при образовании пузырьков в жидкостях (кавитации) и даже — в дрожжах (!)2 [8]. ИТЭ приводит здесь к иным, вполне удовлетворительным, оптимистическим выводам. Внешнее поле дейтрона (пока я только для этого случая и применил разработанную теорию), перестаёт быть изотропным. Потенциальный барьер, который и препятствует синтезу, при этом не только не остаётся однородным — он перестаёт быть сплошным, в нём периодически (или эпизодически) открываются и захлопываются многочисленные «потайные дверцы». Он весь дышит и мерцает и потому становится вполне преодолимым.
Эквипотенциальные (равных потенциалов) поверхности (по классике это простые сферы) преобразуются в восьмилепестковый «цветок» (рис.3) и не неподвижный, а непрестанно и непроизвольно покачивающийся влево—вправо. Вероятность синтеза при этом резко возрастает.
Объясняются некоторые аномалии в электричестве. Так, в электростатике известен чрезвычайно интересный и совершенно непонятный феномен «левитирующих конденсаторов». Вес плоских или почти плоских конденсаторов с неоднородным диэлектриком зависит от их ориентации! Феномен был обнаружен в 40-х годах XX века и получил название «эффект Биффельда-Брауна». Его можно объяснить тем, что электрические поля от отрицательных и положительных заряженных частиц по- разному интерферируют, из-за чего результирующее электрическое поле становится анизотропным, и действие уже не равно противодействию. При надлежащем соотношении фаз электрическое поле системы из двух одноимённых зарядов теряет сферическую симметрию, и его эквипотенциальные поверхности образуют фигуры, напоминающие форму «сердца» (рис.4). Напряжённость поля, направленного вверх, становится меньше напряжённости поля, направленного вниз, из-за чего и возникает не скомпенсированная тяга, изменяющая вес конденсатора.
И форма «цветка», и форма «сердца» описываются в ИТЭ одной и той же формулой для потенциала системы из двух одинаковых зарядов Q, разнесённых на расстояние 2а:
где λ — длина волны их собственных колебаний, ∆Фо — разность начальных фаз.
То, что при этом нарушается 3-й закон Ньютона и автоматически закон сохранения энергии, смущать не должно: ведь, согласно ИТЭ, элементарные частицы вещества пребывают в состоянии постоянного обмена с тончайшей субквантовой средой. Из неё они черпают и энергию, и импульс, и ей же отдают излишки того и другого. Так что великие законы сохранения выполняются по-прежнему, но только — в целом, во всей системе, включающей в себя, помимо вещества, ещё и тонкую субквантовую среду. Для отдельных же компонент системы, например, для вещественной, эти законы выполняться уже не обязаны.
В связи с этим вселяет надежду освоение новых источников неисчерпаемой энергии (энергии вакуума, как сейчас говорят, или свободной энергии), а также поиск новых принципов «безопорного движения» [9]. И энергию, и опору даст мировой эфир — тонкая, всё проникающая среда. Она разлита по бескрайним просторам Вселенной, и даже устремясь в космические дали, мы всегда будем находиться в непосредственном контакте с нею и сможем пользоваться неисчерпаемыми её ресурсами.
Упомянем ещё о приложении ИТЭ к явлениям гравитации. Информационная динамика — теория чрезвычайно гибкая и ёмкая, — настолько, что способна пролить свет на таинственную природу тяготения. Сама гравитация, согласно ИТЭ, может быть представлена как результат нескомпенсированного влияния всей грандиозной совокупности эфиронных волн, излучаемых всеми частицами, составляющими массивное тело. В обычных условиях эти волны, накладываясь друг на друга, приводят к такому суммарному полю, которое и идентифицируется как поле тяготения. При иных условиях (трудно пока сказать, каких, но допустимых) результирующее поле может стать иным, тончайшее равновесие нарушится, и сила гравитации изменится: уменьшится, возрастёт или даже поменяет знак. В рамках информационной теории такие варианты вполне возможны.
Итак, теория справедлива в очень широком диапазоне, а это даёт уверенность в правильности выбора, приносит творческую радость. На такой оптимистической ноте можно остановиться, резюмируя вкратце всё вышесказанное.
Рис. 4
Речь шла об информационной динамике — вообще и о приложении её к электромагнитным явлениям — в частности. Информационная динамика — область новая. Разработка её совершенно необходима, поскольку она, как мне кажется, соприкасается с истиной и имеет поэтому необозримые перспективы. Она займёт своё достойное место рядом с молодыми, но прочно уже ставшими на ноги, новыми дисциплинами — теорией систем (провозглашающей единство мира) и синергетикой (теорией самоорганизации); она даёт детальное обоснование тому, как именно происходит самоорганизация, благодаря которой мир и обретает целостность.
Основными моментами информационной динамики являются представление о мировом эфире — тонкой, вездесущей и энергоёмкой субстанции — и об активности (одушевлённости) элементарных обитателей физического микромира. На этих основаниях строится теория: сначала — в виде разветвлённой самосогласованной логической схемы, затем — в виде формальной физико-математической модели, с помощью которой можно уже производить количественные оценки.
Посредником физического взаимодействия в информационной теории электричества считается эфирный звук — то есть акустические (по своей физической сути) колебания эфира. Это — фундаментальное положение. Теория, возможно, ещё претерпит немалые изменения, но вибрации эфира останутся в её основе.
Эфирный звук — неуловимо тонкое и невообразимо прекрасное звучание мирового эфира. Его песня, его слово — организующее и гармонизирующее мир. Мировой эфир звучит со дня Творения, звучит всегда, но его мелодии лишь изредка проникают в сердца людей. Надо прислушаться и услышать. Время пришло.
- Ваши рецензии




_20.03.2001/informacionnaya_dinamika/image001.jpg)
_20.03.2001/informacionnaya_dinamika/image002.jpg)
_20.03.2001/informacionnaya_dinamika/image007.jpg)
_20.03.2001/informacionnaya_dinamika/image009.jpg)